静岡大学の大矢恭久准教授のグループは、核融合炉のプラズマ対向材料候補であるタングステン(W)について、照射損傷がある状態での水素同位体(重水素)の滞留を比較し、純Wでは滞留量が1桁以上増える一方、W-Ta、W-Mo、K-doped Wでは増加が約1.5~4倍にとどまる結果を示しました。
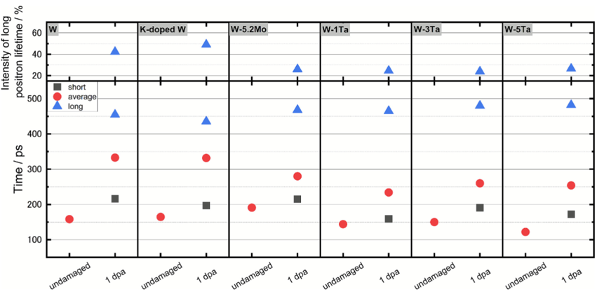
比較対象は純W、W-1/3/5Ta(Ta濃度1~5%)、W-5.2Mo(Mo濃度5.2%)、K-doped W(K添加は数十appm程度)です。6 MeV Fe2+の鉄イオン照射で損傷を導入し、1 dpa条件で陽電子寿命測定法(PAS)により欠陥を評価しました。
その後、重水素イオン照射を行い、昇温脱離法(TDS)で滞留量を評価し、HIDTシミュレーションで捕捉エネルギーや欠陥密度を定量比較しました。非照射材の主な捕捉エネルギーは1.2 eV未満でしたが、照射後には約1.60 eVの高エネルギートラップが出現し、材料ごとの欠陥構造差が滞留挙動に影響すると整理しています。
研究チームは、照射損傷下で純Wより滞留増加が抑えられる先進材の知見が、原型炉開発に向けた燃料システム設計や材料選定の判断材料になるとみています。
【関連リンク】
DOI: 10.1016/j.nme.2026.102069
公式HP: https://www.shizuoka.ac.jp
AI生成記事のため誤りを含む場合があります
PRTIMES
PRTIMES
タングステンにおける水素同位体滞留挙動に及ぼす合金元素・分散粒子の役割を系統比較
